Situation globale des organismes de placement collectif à la fin du mois d’avril 2019
Communiqué de presse 19/20
I. Situation globale
Au 30 avril 2019, le patrimoine global net des organismes de placement collectif, comprenant les OPC soumis à la Loi de 2010, les fonds d’investissement spécialisés et les SICAR, s’est élevé à EUR 4.404,936 milliards contre EUR 4.350,449 milliards au 31 mars 2019, soit une augmentation de 1,25% sur un mois. Considéré sur la période des douze derniers mois écoulés, le volume des actifs nets est en augmentation de 4,20%.
L’industrie des OPC luxembourgeois a donc enregistré au mois d’avril une variation positive se chiffrant à EUR 54,487 milliards. Cette augmentation représente le solde des émissions nettes négatives à concurrence d’EUR 1,209 milliards (-0,03%) et de l’évolution favorable des marchés financiers à concurrence d’EUR 55,696 milliards (+1,28%).
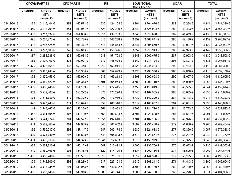
L’évolution des organismes de placement collectif se présente comme suit :
Le nombre des organismes de placement collectif (OPC) pris en considération est de 3.871 par rapport à 3.868 le mois précédent. 2.513 entités ont adopté une structure à compartiments multiples ce qui représente 13.553 compartiments. En y ajoutant les 1.358 entités à structure classique, au total 14.911 unités sont actives sur la place financière.
Concernant d’une part l’impact des marchés financiers sur les principales catégories des organismes de placement collectif et d’autre part l’investissement net en capital dans ces mêmes OPC, les faits suivants sont à relever pour le mois d’avril:
Les catégories d’OPC à actions ont toutes connu un développement positif pour le mois sous revue.
Au niveau des pays développés, la catégorie d’OPC à actions européennes a réalisé une performance positive face à des chiffres macroéconomiques positifs et à la stabilisation de la conjoncture globale, et ceci malgré les tensions commerciales entre l’Europe et les Etats-Unis. Des résultats d’entreprise au-dessus des attentes, le progrès dans les négociations commerciales sino-américaines et le maintien de la politique monétaire accommodante aux EtatsUnis ont soutenu la catégorie d’OPC à actions américaines. La catégorie d’OPC à actions japonaises a clôturé en territoire positif sous l’impulsion d’une demande intérieure stable, de la stabilisation de la croissance en Chine et de la politique monétaire accommodante de la Banque du Japon.
Au niveau des pays émergents, la catégorie d’OPC à actions d’Asie, face à des développements hétérogènes dans les différents pays de la région, a en somme réalisé une performance positive sur base surtout de la stabilisation de la croissance en Chine. Les résultats d’entreprise au-dessus des anticipations, la reprise de la conjoncture globale et la hausse du prix du pétrole expliquent la hausse des cours de la catégorie d’OPC à actions de l’Europe de l’Est. Les cours des actions en Amérique latine ont globalement suivi la tendance générale à la hausse, de sorte que la catégorie d’OPC à actions de l’Amérique Latine a terminé en territoire positif.
Au cours du mois d’avril les catégories d’OPC à actions ont globalement affiché un investissement net en capital négatif.
Évolution des OPC à actions au mois d’avril 2019*

* Variation en % des Actifs Nets en EUR par rapport au mois précédent
En Europe, les cours des obligations d’Etat à haute notation ont légèrement diminué sous l’impulsion des signes positifs de la conjoncture, tandis que les obligations d’Etat à basse notation ont été plus recherchées par les investisseurs avec comme conséquence une hausse des cours. Les obligations d’entreprises ont légèrement progressé dans un contexte de résultats d’entreprises au-dessus des anticipations, de sorte qu’en somme la catégorie d’OPC à obligations libellées en EUR a affiché une légère hausse.
Aux Etats Unis, la catégorie d’OPC à obligations libellées en USD a peu bougé pour le mois sous revue sous l’effet, d’une part, de la légère hausse des rendements des obligations d’État dans un contexte d’indicateurs de conjoncture positifs et d’un taux d’inflation plus élevé et, d’autre part, de la baisse des rendements des obligations d’entreprises libellées en USD.
Face à des développements divergents des bourses et devises des différents pays émergents, la catégorie d’OPC à obligations de pays émergents n’a pratiquement pas bougé pour le mois sous revue.
Au cours du mois d’avril les catégories d’OPC à revenu fixe ont globalement affiché un investissement net en capital positif.
Évolution des OPC à revenu fixe au mois d’avril 2019*

* Variation en % des Actifs Nets en EUR par rapport au mois précédent
L’évolution des actifs nets des OPC luxembourgeois diversifiés et des fonds de fonds est illustrée dans le tableau suivant :
Évolution des OPC diversifiés et Fonds de Fonds au mois d’avril 2019*

* Variation en % des Actifs Nets en EUR par rapport au mois précédent
II. Ventilation du nombre et des avoirs nets des OPC
Durant le mois de référence, les dix organismes de placement collectif suivants ont été inscrits sur la liste officielle :
1) OPCVM partie I Loi 2010 :
- AZ FUND 3, 35, avenue Monterey, L-2163 Luxembourg
- HVB STIFTUNGSPORTFOLIO-FONDS 1, 8-10, rue Jean Monnet, L-2180 Luxembourg
- SEAHAWK EQUITY LONG SHORT FUND, 4, rue Thomas Edison, L-1445 Strassen
- TRZ UCITS FUND, 9A, rue Gabriel Lippmann, L-5365 Munsbach
- UNIINSTITUTIONAL EQUITIES MARKET NEUTRAL, 308, route d’Esch, L-1471 Luxembourg
2) OPC partie II Loi 2010 :
- –
3) FIS :
- HERANIA SICAV-SIF, 15, rue de Flaxweiler, L-6776 Grevenmacher
- KAPITAL 1852 SCS SICAV-FIS, 4, rue Thomas Edison, L-1445 Strassen
- SWISS LIFE INVESTMENT COMPANY S.A., SICAF-SIF, 4A, rue Albert Borschette, L-1246 Luxembourg
- SWISS LIFE REF (LUX) PARIS PRIME OFFICE S.A., SICAV-SIF, 4A, rue Albert Borschette, L-1246 Luxembourg
4) SICAR :
- COFRA INVEST SICAR, SÀRL, 19-21, route d’Arlon, L-8009 Luxembourg
Les sept organismes de placement collectif suivants ont été radiés de la liste officielle au cours du mois de référence:
1) OPCVM partie I Loi 2010 :
- COMMERZBANK AKTIENTREND DEUTSCHLAND, 25, rue Edward Steichen, L-2540 Luxembourg
- DNB SICAV, 5, allée Scheffer, L-2520 Luxembourg
- RIVERTREE MONEY MARKET, 11, rue Aldringen, L-1118 Luxembourg
- TOP TEN CLASSIC, 1C, rue Gabriel Lippmann, L-5365 Munsbach
2) OPC partie II Loi 2010 :
- –
3) FIS :
- FIA FUND SICAV SIF, 49, avenue J-F Kennedy, L-1855 Luxembourg
4) SICAR :
- MISTRALIA CAPITAL S.C.A., SICAR, 6A, rue Gabriel Lippmann, L-5365 Munsbach
- ADARA VENTURES SICAR, S.C.A., 20, boulevard Emmanuel Servais, L-2535 Luxembourg

